Sprache

Die freie und offene Büro-Software
Verfügbar: Apache OpenOffice 4.1.16
[zurück] [Hauptmenü] [weiter]

OpenOffice.org Formel

03 - besonderes Positionieren

Natürlich will man viel mehr als nur Brüche schreiben können! Als nächstes zeige ich Ihnen, wie man Zeichen hoch und tief stellen kann:

hier das Hochstellen:

Kommando-Eingabefeld Formel
2^3
2^3
5^{1+3+3^2}
5^{1+3+3^2}

und hier das Tiefstellen:

2_3
2_3
{1 over 2}_Bruch + 4_3
{1 over 2}_Bruch + 4_3

Außer diesem gibt es noch das davorgesetzte Hoch- und Tiefstellen; das wird z.B. in der Chemie benötigt. Hier ein paar Beispiele:

2 lsub{123}
2 lsub{123}
123 lsup{2}
123 lsup{2}
Bi lsup{209} + Fe lsup{58} toward Mt lsup{266}lsub {109} + n lsup{1}
Bi lsup{209} + Fe lsup{58} toward Mt lsup{266}lsub {109} + n lsup{1}

Bei dem letzten Beispiel wurde z.B. der 'toward' Befehl verwendet, der einen Pfeil erzeugt. Auch möchte ich darauf hinweisen, dass bei 'Mt' vorgestelltes Hoch- und Tiefstellen einfach durch Hintereinanderschreiben kombiniert wird!

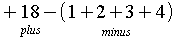
Als dritte Art gibt es das Darüber- und Darunterschreiben:

{2-4*3} csup{-10}
{2-4*3} csup{-10}
+18 csub{plus}-(1+2+3+4)csub{minus}
+18 csub{plus}-(1+2+3+4)csub{minus}

Als kleine Anmerkung möchte ich noch hinzufügen, dass man das letzte Beispiel noch eleganter lösen könnte:

+ 18 underbrace plus - (1+2+3+4) underbrace minus
+ 18 underbrace plus - (1+2+3+4) underbrace minus

[zurück] [Hauptmenü] [weiter]

© Copyright 2003, Harald Schilly

This documentation is part of "Erste Schritte: OpenOffice.org Textdokument", which is released under the terms of the PDL.
For full copyright and license info read the index page.

The ASF

Copyright & License | Privacy | Contact Us | Donate | Thanks

Apache, OpenOffice, OpenOffice.org and the seagull logo are registered trademarks of The Apache Software Foundation. The ASF logo is a trademark of The Apache Software Foundation. Other names appearing on the site may be trademarks of their respective owners.